Zweiteilig mit Dübel
Auf den folgenden Seiten wird die Berechnung und der Nachweis des Dachanschlusses Zweiteiliger Kehlbalken mit Dübel besonderer Bauart nach DIN 1052:2004-08, 13.3 erklärt.

Allgemein ist nachzuweisen, dass die Grenzzustände der Tragfähigkeit der Verbindungseinheit Dübel mit dem zugehörigen Bolzen (Ed ≤ Rd), die Dübel- und Bolzenabstände sowie die Mindestholzdicken des Sparrens und Kehlbalkens eingehalten sind.
Dübel besonderer Bauart sind in der DIN EN 912 genormt. Jeder Dübel muss mit einem Bolzen nach DIN 1052:2004-08, Tabelle 17 bzw. 19 gesichert sein. Die charakteristischen Festigkeitskennwerte des Bolzen fu,k und fy,k sind in der DIN 1052:2004-08, Tabelle G.11 angegeben.
Dübel besonderer Bauart sind in der DIN EN 912 genormt. Jeder Dübel muss mit einem Bolzen nach DIN 1052:2004-08, Tabelle 17 bzw. 19 gesichert sein. Die charakteristischen Festigkeitskennwerte des Bolzen fu,k und fy,k sind in der DIN 1052:2004-08, Tabelle G.11 angegeben.
Ed: Bemessungswert der Beanspruchungen in [N]
Die errechnete Schnittgröße unter Berücksichtigung der Bemessungssituation mit γ-fachen Einwirkungen.

Die für die Berechnung und Nachweis dieses Kehlbalkenanschluss an den Sparren anzusetzende Kraft Fd ist die resultierende Kraft infolge der Querkraft Qd und der Normalkraft Nd:

Rd: Bemessungswert des Bauteil-/ Tragwiderstandes in [N]
Der Bemessungswert der Tragfähigkeit pro Verbindungseinheit (Dübel mit zugehörigem Bolzen nach DIN 1052:2004-08, 13.3.1(10)) wird wie folgt berechnet:

| Rk: | charakteristische Wert der Tragfähigkeit Rk pro Verbindungseinheit in [N]. |
| kmod: | Modifikationsbeiwert, der den Einfluss der Nutzungsklasse und der Lasteinwirkungsdauer auf die Festigkeitseigenschaften berücksichtigt; nach DIN 1052:2004-08, Tabelle F.1. |
| γM: | Teilsicherheitsbeiwert nach DIN 1052:2004-08, Tabelle 1. |
Nachweis der Verbindung mit Ring- und Scheibendübeln (Dübeltyp A1)
Der Tragfähigkeitsnachweis der Dübelverbindung wird mit der vorhandene Bemessungskraft Fd und dem Bemessungswert der Tragfähigkeit des Dübeltyps A1 nach DIN 1052:2004-08, 13.3.2 geführt. Die Tragfähigkeit des zugehörigen Bolzen wird bei dem Dübeltyp A1 rechnerisch nicht angesetzt, da die Bolzen keine Kraftaufnahme entfalten und muss somit auch nicht nachgewiesen werden.
Für den Nachweis der Tragfähigkeit der Dübelverbindung muss folgende Bedingung erfüllt sein:

Der Bemessungswerte der Tragfähigkeit wird wie folgt berechnet:

Dabei ist:





Wenn die Holzrohdichte ρk = 350 [kg/m³] ist:

Wenn die Holzrohdichte ρk < 350 [kg/m³] ist:

Wenn die Holzrohdichte ρk > 350 [kg/m³] ist:

| Fd: | Bemessungsgebende Kraft resultierend aus der Querkraft Qd und der Normalkraft Nd in [N]. |
| n: | Anzahl der Verbindungseinheiten. Hier: n = 2 (je Seite ein Dübel). |
| dc: | Dübeldurchmesser in [mm]. |
| he: | Einlasstiefe des Dübels im Holz in [mm]. |
| α: | Winkel zwischen Kraft- und Faserrichtung des Holzes in [Grad]. Das Programm berechnet den Winkel zwischen resultierenden Kraft- und Faserrichtung Kehlbalken und Kraft- und Faserrichtung Sparren. Der größere Winkel ist maßgebend. |
| Rc,α,k: | Charakteristische Wert der Tragfähigkeit einer Verbindungseinheit nach Gleichung (257) in Abhängigkeit von α mit dem Abminderungsfaktor kα in [N]. |
| ρk: | Charakteristische Rohdichte des Holzes in [kg/m³]. |
| kmod: | Modifikationsbeiwert, der den Einfluss der Nutzungsklasse und der Lasteinwirkungsdauer auf die Festigkeitseigenschaften berücksichtigt; nach DIN 1052:2004-08, Tabelle F.1. |
| γM: | Teilsicherheitsbeiwert 1,3 für Holz und Holzwerkstoffe einzusetzen; nach DIN 1052:2004-08, Tabelle 1. |
Nachweis der Verbindung mit Scheibendübeln mit Zähnen oder Dornen (Dübeltyp C1, C3, C5 und C10)
Der Tragfähigkeitsnachweis der Dübelverbindung wird mit der vorhandene Bemessungskraft Fd und dem Bemessungswert der Tragfähigkeit des Dübeltyps C1, C3, C5 oder C10 nach DIN 1052:2004-08, 13.3.3 geführt. Die Tragfähigkeit des zugehörigen Bolzen wird bei diesen Dübeltypen rechnerisch angesetzt, da der Bolzen an der Kraftaufnahme beteiligt ist und muss somit auch nach DIN 1052:2004-08, 12.4 nachgewiesen werden. Für die Verbindung von Laubhölzern dürfen diese Dübeltypen nicht verwendet werden.
Der Bemessungswert der Tragfähigkeit der Verbindungseinheit Dübel und Bolzen wird pro Scherfuge angesetzt.
Der Bemessungswert der Tragfähigkeit der Verbindungseinheit Dübel und Bolzen wird pro Scherfuge angesetzt.
Für den Nachweis der Tragfähigkeit der Dübelverbindung muss folgende Bedingung erfüllt sein:

Die bemessungsgebende Kraft Fd wird wie folgt bestimmt:

Der Bemessungswert der Tragfähigkeit Rj,α,d der Verbindungseinheit Dübel und Bolzen wird wie folgt berechnet:

Dabei ist:
| Rc,d: | Bemessungswert der Tragfähigkeit des Dübels in [N]. |
| Rb,α,d: | Bemessungswert der Tragfähigkeit des Bolzens in [N]. |
| n: | Anzahl der Verbindungseinheiten verteilt auf die Scherfugen . Hier: n = 2 (je Seite eine Verbindungseinheit). |
Berechnung der Bemessungswerte der Tragfähigkeit des Dübels
Der Bemessungswert Rc,d wird wie folgt berechnet:

Dabei ist:

Nach DIN 1052:2004-08, 13.3.3(7) und 13.3.3(8) ist bei einer Rohdichte des Holzes ρk < 350 [kg/m³] der Tragfähigkeitswert Rc,k mit dem Beiwert kρ zu mindern, bzw. bei einer Rohdichte des Holzes ρk > 350 [kg/m³] mit dem Beiwert kρ zu vergrößern:


| dc: | Dübeldurchmesser in [mm]. Bei Dübeltypen C3, C4 und C5 wird dc nach 13.3.3(2) berechnet. |
| Rc,k: | Charakteristische Wert der Tragfähigkeit des Dübels in Abhängigkeit des Beiwerts kρ in [N]. |
| ρk: | Charakteristische Rohdichte des Holzes in [kg/m³]. |
| kmod: | Modifikationsbeiwert, der den Einfluss der Nutzungsklasse und der Lasteinwirkungsdauer auf die Festigkeitseigenschaften berücksichtigt; nach DIN 1052:2004-08, Tabelle F.1. |
| γM: | Teilsicherheitsbeiwert 1,3 für Holz und Holzwerkstoffe einzusetzen; nach DIN 1052:2004-08, Tabelle 1. |
Berechnung der Bemessungswerte der Tragfähigkeit des Bolzens
Der Bemessungswert Rb,α,d wird wie folgt berechnet:

Dabei ist:

mit:




Für d ≤ 8 mm ist:

Für Nadelholz ist:

Für Laubholz ist:

| d: | Bolzendurchmesser in [mm]. |
| fu,k: | Charakteristischer Wert der Zugfestigkeit des Stahles in [N/mm²]. |
| My,k: | charakteristischer Wert des Fließmomentes des Stahles in [Nmm]. |
| α: | Winkel zwischen Kraft- und Faserrichtung des Holzes in [Grad]. Das Programm berechnet die Winkel: α1 zwischen der resultierenden Kraft- und Faserrichtung Kehlbalken α2 zwischen der resultierenden Kraft- und Faserrichtung Sparren. |
| fh,α,k: | Charakteristische Wert der Lochleibungsfestigkeit des Holzes für eine Belastung unter einem Winkel α zur Faserrichtung des Holzes in [N/mm²]. Berechnet wird fh,α,k mit α1 und mit α2. Für die Berechnung von Rb,α,k ist der kleinste fh,α,k Wert maßgebend. |
| Rb,α,k: | Charakteristische Wert der Tragfähigkeit des Bolzens je Scherfuge in Abhängigkeit von α in [N]. |
| ρk: | Charakteristische Rohdichte des Holzes in [kg/m³]. |
| kmod: | Modifikationsbeiwert, der den Einfluss der Nutzungsklasse und der Lasteinwirkungsdauer auf die Festigkeitseigenschaften berücksichtigt; nach DIN 1052:2004-08, Tabelle F.1. |
| γM: | Teilsicherheitsbeiwert 1,1 für Stahl in Verbindungen auf Biegung beanspruchte stiftförmige Verbindungsmittel; nach DIN 1052:2004-08, Tabelle 1. |
Kontrolle der Mindestholzdicken
Die Kontrolle der Mindestholzdicken für die Verbindungseinheit Dübel und Bolzen muss getrennt für den Dübel und für den Bolzen geführt werden. Der Nachweis der Mindestholzdicke t1,req (Kehlbalken) und t2,req (Sparren) für den Bolzen wird mit den Gleichungen (192) und (194) und für den Dübel nach 13.3.2(1) geführt.

Mindestholzdicken für Dübel
Die erforderliche Mindestholzdicke des Kehlbalkens t1,req und des Sparrens t2,req wird wie folgt berechnet in [mm]:
| Mindestholzdicke Kehlbalken: | ![]() |
| Mindestholzdicke Sparren: | ![]() |
Dabei ist:
| he: | Einlasstiefe des Dübels im Holz in [mm]. |
Mindestholzdicken für Bolzen
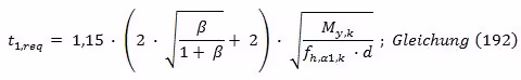
Die erforderliche Mindestholzdicke des Kehlbalkens t1,req und des Sparrens t2,req wird wie folgt berechnet in [mm]:
| Mindestholzdicke Kehlbalken: | ![]() |
| Mindestholzdicke Sparren: | ![]() |
Dabei ist:

| d: | Bolzendurchmesser in [mm]. |
| My,k: | charakteristischer Wert des Fließmomentes des Stahles nach Gleichung (208) in [Nmm]. |
| α: | Winkel zwischen Kraft- und Faserrichtung des Holzes in [Grad]. Das Programm berechnet die Winkel: α1 zwischen der resultierenden Kraft- und Faserrichtung Kehlbalken α2 zwischen der resultierenden Kraft- und Faserrichtung Sparren. |
| fh,α1,k: | Charakteristische Wert der Lochleibungsfestigkeit des Holzes nach Gleichung (202) für eine Belastung unter einem Winkel α zur Faserrichtung des Kehlbalkens in [N/mm²]. |
| fh,α2,k: | Charakteristische Wert der Lochleibungsfestigkeit des Holzes nach Gleichung (202) für eine Belastung unter einem Winkel α zur Faserrichtung des Sparrens in [N/mm²]. |
Nachweis der einzuhaltenden Mindestabstände der Verbindungseinheit
Kontrolliert wird der Mindestabstand ob dieser von dem Dübel und bei den Dübeltypen C1 bis C5 auch von dem Bolzen eingehalten wird. Die Mindestabstände der Dübel müssen nach DIN 1052:2004-08, Tabelle 18 (Typ A1), Tabelle 20 (Typen C1 bis C5) und Tabelle 21 (Typen C10 und C11), eingehalten werden. Die Mindestabstände der Bolzen müssen nach DIN 1052:2004-08, Tabelle 9, eingehalten werden.

Die Mindestabstände werden jeweils am Kehlbalken und am Sparren berechnet. Für diesen Anschluss 'Zweiteilig mit Dübel' sind nur die Randabstände relevant:
| Randabstände Kehlbalken: | a1,t ; a1,c ; a2,t ; a2,c |
| Randabstände Sparren: | a2,t ; a2,c |
Mindestabstände von Dübeltyp A1 (Tabelle 18) in [mm]:
| a1,t: | beanspruchtes Hirnholzende | 2 * dc |
| a1,c: | unbeanspruchtes Hirnholzende | α ≤ 30°: 1,2 * dc α > 30°: (0,4 + 1,6 * sin α) * dc |
| a2,t: | beanspruchter Rand | (0,6 + 0,2 * sin α) * dc |
| a2,c: | unbeanspruchter Rand | 0,6 * dc |
Dabei ist:
| dc: | Dübeldurchmesser in [mm]. |
| α: | Winkel α1 zwischen Kraft- und Faserrichtung (hier: Kehlbalken) in [Grad]. Winkel α2 zwischen Kraft- und Faserrichtung (hier: Sparren) in [Grad]. |
Mindestabstände von Dübeltyp C1 bis C5 (Tabelle 20) in [mm]:
| a1,t: | beanspruchtes Hirnholzende | 1,5 * dc |
| a1,c: | unbeanspruchtes Hirnholzende | α ≤ 30°: 1,2 * dc α > 30°: (0,9 + 0,6 * sin α) * dc |
| a2,t: | beanspruchter Rand | (0,6 + 0,2 * sin α) * dc |
| a2,c: | unbeanspruchter Rand | 0,6 * dc |
Dabei ist:
| dc: | Dübeldurchmesser in [mm]. Bei den Dübeltypen C3 und C4 ist für dc die größte Seitenlänge a2 des Dübels, bei Dübeltyp C5 für dc die Seitenlänge d des Dübels einzusetzen. Siehe auch 13.3.3(9). |
| α: | Winkel α1 zwischen Kraft- und Faserrichtung (hier: Kehlbalken) in [Grad]. Winkel α2 zwischen Kraft- und Faserrichtung (hier: Sparren) in [Grad]. |
Mindestabstände von Dübeltyp C10 (Tabelle 21) in [mm]:
| a1,t: | beanspruchtes Hirnholzende | 2,0 * dc |
| a1,c: | unbeanspruchtes Hirnholzende | α ≤ 30°: 1,2 * dc α > 30°: (0,4 + 1,6 * sin α) * dc |
| a2,t: | beanspruchter Rand | (0,6 + 0,2 * sin α) * dc |
| a2,c: | unbeanspruchter Rand | 0,6 * dc |
Dabei ist:
| dc: | Dübeldurchmesser in [mm]. Siehe auch 13.3.3(9). |
| α: | Winkel α1 zwischen Kraft- und Faserrichtung (hier: Kehlbalken) in [Grad]. Winkel α2 zwischen Kraft- und Faserrichtung (hier: Sparren) in [Grad]. |
Mindestabstände von Bolzen (Tabelle 9) in [mm]:
| a1,t: | beanspruchtes Hirnholzende | 7 * d (jedoch mindestens 80 mm) |
| a1,c: | unbeanspruchtes Hirnholzende | 7* d * sin α (jedoch mindestens 4 * d) |
| a2,t: | beanspruchter Rand | 3 * d |
| a2,c: | unbeanspruchter Rand | 3 * d |
Dabei ist:
| d: | Bolzendurchmesser in [mm]. |
| α: | Winkel α1 zwischen Kraft- und Faserrichtung (hier: Kehlbalken) in [Grad]. Winkel α2 zwischen Kraft- und Faserrichtung (hier: Sparren) in [Grad]. |



