Hauptspannungen in Flächenelementen
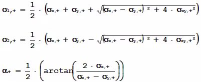
Die lokalen Grundspannungen sind nicht maßgeblich für die Dimensionierung des Faltwerkselementes. Vielmehr sind die extremal auftretenden Spannungen für die Bemessung heranzuziehen. Diese Extremalwerte werden als Hauptspannungen bezeichnet. Die Hauptspannungen ergeben sich aus dem Mohrschen Spannungskreis.

Es gelten folgende Zusammenhänge:

Es gelten folgende Zusammenhänge:
![]() | Positive Seite des Elementes. Dies ist die Richtung, in die die Z-Achse des lokalen Koordinatensystems zeigt. |
![]() | Negative Seite des Elementes. Entgegen der Richtung der Z-Achse des lokalen Koordinatensystems. |
![]() | Mitte des Elementes. |
![]() | Schubspannung in der Mitte des Elementes. |



